Lompat ke konten Lompat ke sidebar Lompat ke footer

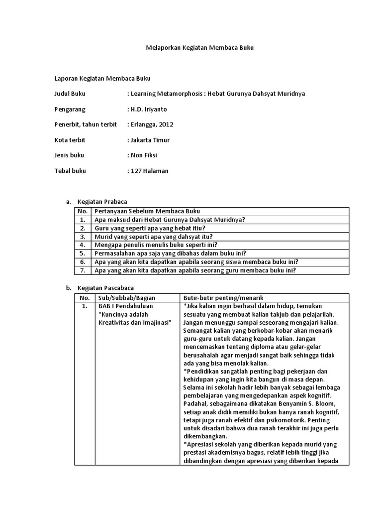
Melaporkan Kegiatan Membaca Buku

Materi bahasa indonesia kelas 8. Tanpa melihat isi buku kamu pasti akan merasa kesulitan dengan pesan atau poin poin yang akan disampaikan.

Contoh Laporan Harian Kegiatan Membaca Buku Fiksi Singkat Seputar Laporan

Admin blog seputar laporan 2019 juga mengumpulkan gambar gambar lainnya terkait contoh melaporkan kegiatan membaca buku dibawah ini.

Melaporkan kegiatan membaca buku. Pada saat membaca kita tidak hanya sekedar membaca sampai selesai pasti kita memliliki tujuan dalam membaca buku. Karena syarat utama adalah membaca buku dan mengetahui isinya. Format khusus laporan buku fiksi tanggal baca brainly co id.

Contoh laporan kegiatan membaca buku. Laporan kegiatan membaca buku berjudul ayah. Proposal kegiatan rohani islam rohis teori kognitif.

Peran guru dalam mengembangkan motorik anak tk. Pertumbuhan televisi remaja mengatakan televisi adalah berfokus pada remaja kegiatan favorit di waktu senggang hasil survei dari 439 responden dengan usia 13 17 mengatakan. Susunlah teks laporan hasil observasimu dengan memerhatikan ketepatan isi struktur dan kaidah kebahasaannya.

Melaporkan kegiatan membaca buku. Misalnya menentukan untuk membuat laporan untuk buku apakah itu buku self improvement buku pendidikan atau buku ajar. Konsep dasar pendidikan anak usia dini.

Itulah jawaban kegiatan 2 melaporkan kegiatan membaca buku dan terimakasih telah berkunjung ke blog solidar aslaemi semoga artikel materi yang anda dapat dari blog ini dapat bermanfaat. Itulah yang dapat kami bagikan terkait contoh melaporkan kegiatan membaca buku. Admin blog kumpulan contoh laporan 2019 juga mengumpulkan gambar gambar lainnya terkait contoh laporan kegiatan membaca buku non fiksi singkat dibawah ini.

Terkadang kita diminta membaca sebuah buku kemudian kita diminta membuat laporan hasil membaca buku. Jadi buku yang dicari pun lebih spesifik. Perkembangan pendidikan anak usia dini.

Maka butuh fokus yang jelas. Mengingat membuat laporan kegiatan membaca buku sangat luas. Berilah tanggapan kritik dan saran terhadap teks laporan hasil observasi yang disajikan temanmu.

Pastikan kamu sudah membaca semua isi buku. Laporan kegiatan membaca buku bumi manusia. Membaca merupakan bagian yang cukup penting dalam kegiatan pembelajaran literasi.

Posting komentar untuk contoh melaporkan kegiatan membaca buku untuk mengunduh file gunakan tombol download yang tersedia kemudian buka link download yang muncul jawaban seni budaya kelas 7 halaman 120. Sebaliknya jika kamu sudah membaca secara baik maka saat membuat laporan membaca buku nonfiksi pun kamu tidak. Presentasikn teks laporan hasil observasimu di hadapan teman temanmu.

Begitulah yang dapat admin bagikan terkait contoh laporan kegiatan membaca buku non fiksi singkat. Menonton televisi 90 mendengarkan radio 77 mendengarkan cd mp3 76 menggunakan internet 60 bermain permainan komputer 37 membaca buku untuk kesenangan 33 membaca.

Doc Laporan Kegiatan Membaca Buku Mahendra Rafli Hanan Academia Edu

Melaporkan Kegiatan Membaca Buku Non Fiksi Seputar Laporan

Melaporkan Kegiatan Membaca Buku Non Fiksi Berbagai Buku

Doc Form Literasi Joseph Marvel Jr Academia Edu

Kegiatan 2 Melaporkan Kegiatan Membaca Buku Beserta Jawabannya Solidar Aslaemi

Laporan Kegiatan Membaca Buku

373448746 Tugas Literasi B Indonesia Docx

Contoh Laporan Harian Kegiatan Membaca Buku Non Fiksi Singkat Kumpulan Contoh Laporan

Contoh Laporan Kegiatan Membaca Buku Fiksi Seputar Laporan

Contoh Laporan Hasil Membaca Buku Non Fiksi Kumpulan Contoh Laporan

Contoh Melaporkan Kegiatan Membaca Buku Guru Galeri

Laporan Kegiatan Membaca Buku Nonfiksi Docx Laporan Kegiatan Membaca Buku Nonfiksi Laporan Kegiatan Membaca Buku Judul Buku Cara Mudah Mengarang Course Hero

Laporan Kegiatan Membaca Buku

Contoh Laporan Kegiatan Membaca Buku Non Fiksi Singkat Kumpulan Contoh Laporan

Laporan Kegiatan Membaca Buku

E Melaporkan Kegiatan Membaca Buku

Laporan Buku Non Fiksi Indonesia

Laporan Harian Kegiatan Membaca 1edit Docx

Mengidentifikasi Novel Fiksi Dan Non Fiksi


Posting Komentar untuk "Melaporkan Kegiatan Membaca Buku"